ارسال پیشنهاد

4

تعداد پیشنهادها

اشتراک گذاری

گزارش تخلف

گزارش مالی

106479 پروژه معادلات دیفرانسیل و ریاضی 2

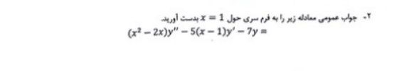
سلام وقتتون بخیر پروژه حل امتحان معادلات دیفرانسیل و ریاضی ۲ نمره کامل هست این دوتا تمرین تحویلی های این ترم هستن امتحان از مبحث سری ها و لاپلاس هست امتحان روز دوشنبه ششم ساعت ده تا دوازده هست اینا امتحان ترم گذشته بوده تا الان هر چی فرستادم دیفرانسیل بود شما اوکیین الان این سوالات رو ؟ فقط مبحث سری و لاپلاس

nikotex
nikotex

امتیاز : 8.92 از 10

ریاضیات
فایل ضمیمه
jpg

-2147483648_-210008(1).jpg

7 کیلوبایت
pdf

Differential Equations 11th.pdf

25.2 مگابایت
jpg

-2147483648_-210008.jpg

7 کیلوبایت
jpg

-2147483648_-210010.jpg

7.1 کیلوبایت
jpg

-2147483648_-210004.jpg

6.6 کیلوبایت
jpg

-2147483648_-210006.jpg

4.2 کیلوبایت
pdf

HW5 (3).pdf

0.2 مگابایت
pdf

HW4 (3) (1).pdf

0.1 مگابایت
  • اطلاعات پروژه
  • 17247کد پروژه
  • کمک آموزشی

    دسته بندی
  • 30 دی 1404تاریخ ثبت
  • 3 روزمهلت اجرا
  • 100,000 تومانحداقل بودجه
  • 300,000 تومانحداکثر بودجه
  • 5 درصد ضمانت اجرا
  • آماده دریافت پیشنهادها وضعیت

تایم لاین پروژه

درخواست پشتیبانی
  • در انتظار پرداخت

    پرداخت تعرفه ثبت پروژه های غیر رایگان

  • در حال بررسی

    برسی و تایید پروژه از طرف مدیرت سایت

  • آماده دریافت پیشنهادها

    تایید پروژه و نمایش برای مجریان

  • در انتظار پرداخت هزینه پروژه

    پرداخت هزینه اجرای پروژه توسط کارفرما

  • در انتظار پرداخت ضمانت اجرا

    پرداخت مبلغ ضمانت اجرا توسط مجری

  • در حال انجام

    پروژه شما درحال انجام می باشد

  • انجام شد

    اتمام اجرای پروژه

لیست پیشنهادها

در حال بارگذاری...