ارسال پیشنهاد

0

تعداد پیشنهادها

اشتراک گذاری

گزارش تخلف

گزارش مالی

گمز 102293 /

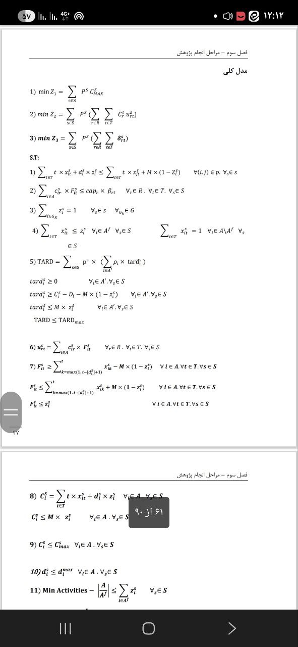
#کدپروژه: 102293 موضوع : گمز / فرموید مدل گمز رو بفرستم بهتون این مدل منه میخوام کد رو با ۱۵ و ۳۰ فعالیت انجام بدین با ۳ منبع و ۳ سناریو قیمت به چه صورت هست؟ ۲ روز مهندسی صنایع بهینه سازی سیستم ها

khane_prozhe
khane_prozhe

امتیاز : 0 از 10

گمز (GAMS)
فایل ضمیمه
jpg

photo_2025-10-31_17-57-41.jpg

64.3 کیلوبایت
jpg

photo_2025-10-31_17-57-44.jpg

64.7 کیلوبایت
  • اطلاعات پروژه
  • 14830کد پروژه
  • کمک آموزشی

    دسته بندی
  • 09 آبان 1404تاریخ ثبت
  • 10 روزمهلت اجرا
  • 500,000 تومانحداقل بودجه
  • 1,000,000 تومانحداکثر بودجه
  • 0 درصد ضمانت اجرا
  • آماده دریافت پیشنهادها وضعیت

تایم لاین پروژه

درخواست پشتیبانی
  • در انتظار پرداخت

    پرداخت تعرفه ثبت پروژه های غیر رایگان

  • در حال بررسی

    برسی و تایید پروژه از طرف مدیرت سایت

  • آماده دریافت پیشنهادها

    تایید پروژه و نمایش برای مجریان

  • در انتظار پرداخت هزینه پروژه

    پرداخت هزینه اجرای پروژه توسط کارفرما

  • در انتظار پرداخت ضمانت اجرا

    پرداخت مبلغ ضمانت اجرا توسط مجری

  • در حال انجام

    پروژه شما درحال انجام می باشد

  • انجام شد

    اتمام اجرای پروژه

لیست پیشنهادها

هیچ پیشنهادی ارسال نشده است

در حال بارگذاری...